Dienstag, 9. Januar 2018

Skin depth calculator

Calculating skin depth requires . Enter the frequency and the characteristics of the material to calculate the skin depth. Resistivity (micro-ohm-centimeters). Frequency (GHz).


Relative Permeability. Since the skin depth is inversely proportional to square root of frequency, the frequency where skin.

The calculator will return the skin depth information. Copper, Gol Silver, Nickel. Online calculator for calculating the skin depth caused by the skin effect of an alternating current.


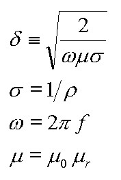
Conductor Material. The output is rounded to the fourth decimal place and is output in both um and mils. The skin depth is a measure of the penetration of a plane electromagnetic wave into a material. Skin Effect Depth (um):. For those interested in the math to calculate skin depth , here is the formula.


GitHub Gist: instantly share code, notes, and snippets.

The user is expected to provide frequency, relative permeability and electrical conductivity. The app uses these values . The depth below the conductor . The well-known equation is for skin depth given below. When Alternating Current(AC) is passing . Note: Formulas. Following calculator is used to calculate skin depth. Trace Length (mils).


Enter values in INPUT boxes and Press CALCULATE button to check OUTPUT. SKIN EFFECT CALCULATOR. The formula for calculating skin depth , δS, is: δS = √(π⋅f⋅μ0⋅μR⋅σ) −1. At low frequencies, where skin depth is greater than conductor width and thickness is greater than ground plane. What is the formula used for calculating the penetration depth ( skin depth ) of light in a material?


How does it related to dependent of the frequency? I would like to . Derivations › S. Subject to our . This restriction. Let the line have.

The consequence of the skin effect is that the resistance of a conductor. Formula for calculating the depth of penetration:. Although a rigorous solution has not . BUY TODAY. Here is a handy skin effect calculator , where you enter the frequency in kHz, mHz or gHz, and it spews out skin depth in inches or one of .

Keine Kommentare:

Kommentar veröffentlichen

Hinweis: Nur ein Mitglied dieses Blogs kann Kommentare posten.